
ABSTRACT
Multi-Agent Reinforcement Learning (MARL) is an emerging field which has gained considerable attention in recent times due to the success of the StarCraft II model AlphaStar. This attention has inspired a higher level of understanding and exploration in this field. Currently, MARL faces issues of scalability and training methodology that accounts for coordinated behaviour while maintaining real-time decision processes. This survey covers traditional RL frameworks like Markov Decision Process, Q-Learning, Actor-Critic and policy gradient, then transitions to recent methods like Multi-Agent Deep Deterministic Policy Gradient with Communication and QMIX architectures. Lastly the performance of learning agents via the StarCraft Multi-Agent Challenge is examined.
Reinforcement Learning mimics human psychology by maximizing long-term reward when interacting with an environment.
RL has been used to train agents to perform tasks such as physical object manipulation and game playing as well or better than human counterparts.
While RL has been around in some form for many years, the merging of Deep Neural Networks and RL in 2015 
A Markov Decision Process (MDP) provides a mathematical framework for senarios where a single agent makes decisions in an environment to optimize reward, and each decision has a randomized effect on the environment. Formally it is defined as a tuple \(\langle S,A,f,p \rangle \), where \(S\) is a finite set of environment states, \(A\) is a finite set of agent actions, \(f: S \times A \times S \rightarrow [0,1]\) is a state transition function, and \(p: S \times A \times S \rightarrow \mathbb{R}\) is a reward function. At each time step \(t\), the agent can observe the environment state \(s_t \in S\) and take some action \(a_t \in A\). The action transitions the environment to state \(s_{t+1}\) with probability \( f(s_t,a_t,s_{t+1}) \) where the agent receives some scalar reward \(r_{t+1} = p(s_t,a_t,s_{t+1}) \).
2.2Neural networks rely on the assumption that data samples are drawn independently and identically from a distribution (iid). Training a neural network on samples from an episode would not fulfill this requirement as each state is directly correlated with the next state. To get around this limitation a finite replay buffer is typically used in reinforcement learning problems. All state-action pairs and their rewards are saved to a replay buffer during an episode. Once the episode is completed the rewards for this episode can be modified to include the size of rewards obtained later in the episode. This allows rewards from a given action to reflect how well that action impacted the future, which is paramount in episodes with sparse rewards. During training, all state-action-reward tuples in the reply buffer are randomly shuffled then fed to the model.

Provided a long episode with sparse rewards it can be difficult to determine which action caused a specific reward. This problem is known as the credit assignment problem and is another reason a replay buffer is used. The replay buffer allows for the rewards to be adjusted prior to training.
2.4A target network is a copy of the architecture of the main network used during training. This target network is updated less often than the main network used in the reinforcement learning task. This target network may also have different hyperparameters and be bounded in how large of a gradient may be backpropagated at one time. Periodically the target network is copied to the main network and training continues. The target network provides stability to the overall reinforcement learning architecture. It prevents the main network from "falling off of an edge" while training by constraining how much it may change during training.
2.5Model free means the reinforcement learning architecture has no knowledge of the specific problem at hand. The same architecture can be used on multiple environments and will learn/adapt to each one without significant changes.
2.6Typically, reinforcement learning architectures are build using one (or both) of these two types of functions. Policy functions directly map a state to an action. Value functions are given an action and state, and then calculate a score based on how close the given action is to the best action for the provided state.
2.6In many real-world senarios partial observability provides a confounding factor for Reinforcement Learning. If the entire environment state is not observable to all agents, then the problem must be modelled using a partially observable Markov Game (POMG). Partial observability can occur if previous state data influences the optimal actions in the current state. For example, if an agent is trained to play a videogame through still game images, previous images may have an important impact on current state strategy. In many multi-agent senarios the state-action space is simply too large, so partial observability is imposed to make the problem computationally tractible.
2.7There are two types of learners in reinforcement learning - off policy and on policy learning. Off policy means the architecture learns regardless of the actions of the agent - ie. Q-Learning. In Q-learning, the agent is trying to optimize a value function which is unaffected by the action the agent took. Each action the agent takes will either reinforce what has been learned and reap larger rewards (exploitation) or provide more information about the system (exploration). Both exploitation and exploration will help to train the value function. On policy means the architecture learns directly due to the actions of the agent - ie. Policy Gradient Methods. Policy based methods typically output a probability over which action should be taken. They inherantly wrap exploration and exploitation together as the best action will be chosen on a probablistic level.
2.8In a MDP, the agent's goal is to maximize expected reward over the time horizon (in this case infinite):
\[R_t = E \left\{ \displaystyle\sum_{i=0}^{\infty} \gamma^i r_{t+i+1} \right\} \]
Where \(\gamma \in \lbrack 0,1) \) is the discount factor and the expectation is taken over the probabilistic state transitions. The behavior of an agent is determined by its policy \(\pi\), which describes how an agent will choose an action given the current state. In order to achieve the goal of learning a policy that will maximize long term reward we define the utility function:
\[Q^{\pi} : S \times A \rightarrow \mathbb{R}\]
\[Q^{\pi}(s,a) = E_{\pi} \left\{ \displaystyle\sum_{i=0}^{\infty} \gamma^i r_{t+i+1} | s,a,\pi \right\} \]
Q-Learning is an iterative procedure used to approximate the optimal Q function \(Q^*(s,a) = max_{\pi}Q^{\pi}(s,a)\). The Q-table stores current estimates of previously explored state, action pairs and is updated using the equation:
\[Q(s_t,a_t) := Q(s_t,a_t) + \alpha[r_{t+1} + \gamma max_{a'}Q(s_{t+1},a') - Q(s_t,a_t)] \]
Where the \(a'\) are potential agent actions in state \(s_{t+1}\), and \(\alpha \in (0,1]\) is the learning rate. Since the Q-value updates do not require knowledge about the probabilistic state transition function or the reward function, Q-Learning is considered model-free.
In order for the sequence of Q-functions described above to converge to the optimal \(Q^*\), the agent must try all actions from all states with non-zero probability. Therefore the learned policy cannot be the deterministic, prohibiting the greedy policy that picks the action with highest Q-value for every state. Instead, the policy must be a mapping from an environment state to a probability distribution over the agent actions, which is non-zero for all actions. This is known as the exploitation-exploration tradeoff, where a policy seeks to exploit actions that are known to be high value while also attempting unexplored actions. One example of such a policy is \(\epsilon\)-greedy exploration, where the agent chooses a random action with probability \(\epsilon\) and the action with largest Q-value with probability \((1-\epsilon)\). Other examples include Boltzmann exploration and entropy sampling.
2.9The state-action space in many environments can be quite large, which can make learning a complete Q-table computationally intractible. While each of these state-action pairs are unique, some may occur infrequently or may be strategically similar or other pairs. Deep Q-Learning seeks to generalize the knowledge of explored states by approximating \(Q(s,a)\) with a Deep Q-Network (DQN), \(Q(s,a|\theta)\) Where \(\theta\) is the weights of a neural network that parametrize the Q-values. The weights are updated by minimizing the loss function:
\[\mathcal{L}(s_t,a_t|\theta_i) = E_{s_t,a_t,r_t,s_{t+1} \sim D } \left\{ (r_t + \gamma max_{a'}\widehat{Q}(s_{t+1},a'|\theta_i) - Q(s_t,a_t|\theta_i))^2 \right\} \]
There are two key components to the above equation that improve convergence. First is the use of an experience replay buffer \(D\), containing tuples \( (s_j, a_j, r_j, s_{j+1})^J_{j=1}\) that have been observed by the learning agent. Rather than updating the the Q-network with each new explored state, the network is updated using uniformly drawn samples from the replay buffer. Second is the target network \(\widehat{Q}\), whose weights are kept fixed for a certain number of iterations and then updated periodically.
2.10Actor-Critic methods are one of the most popular forms of reinforcement learning. In this scenario there are two networks, an actor and a critic. The actor network determines what should be the next action taken. This actor is typically a policy function which learns the best action for a given state. The critic dictates if the provided action is "good" given the current state. This critic network is typically a value function that provides a score for how close the given action is to the optimal action.

Most RL problems fall under continuous action spaces. Discretizing a continuous action space often results in the curse of dimensionality, where the problem becomes computationally intractable due to high dimensionality. Google DeepMind created Deep Deterministic Policy Gradient (DDPG) which is a policy-gradient actor-critic algorithm that is also off-policy and model-free. DDPG uses a stochastic behavior policy for good exploration but estimates a deterministic target policy.
A policy gradient algorithm utilizes a form of policy iteration where the policy is evaluated and then the policy gradient is maximized.
As DDPG is a policy gradient algorithm this is used in both determining the deterministic target policy and the behavior policy.
The target policy is the actor and the behavior policy is the critic.
In other words, DDPG concurrently learns a Q-Function (critic) and a policy (actor) by using off-policy data and the Bellman equation to learn the
Q-function and uses the Q-function to learn the policy
In a discrete action space one can directly search for an optimal action.
In a continuous action space this is a painfully expensive subroutine.
Sadly, the implementation of DDPG does not support parallelization
The Q-function is approximated using a gradient-based learning rule for the critic network:

DDPG is performed by minimizing the Mean Square Bellman Equation Loss with stochastic gradient descent:

As the action space is continuous it is assumed that the Q-function is differentiable with respect to the action. Thus, the Q-function parameters are treated as constants and gradient ascent is used in respect to the policy parameters only:

Lastly, policy gradient based models handle exploration via a probablistic choice of action from the actor. To enhance exploration uncorrelated and mean-zeroed Gaussian noise is used on the output of the actor network prior to action choice. That noise is uncorrelated, mean-zero Gaussian noise. The psudocode for this architecture is shown below:

A Markov Game, also known as a stochastic game, is a natural extension of a MDP to a senario with \(m\) agents. It is defined by \(\langle S,\mathcal{A},F,P \rangle \) where S remains a finite set of states, \(\mathcal{A}\) = \(A_1 \times ... \times A_m\) is the joint action set, and \(F: S \times \mathcal{A} \times S \rightarrow [0,1]\) and \(P: S \times \mathcal{A} \times S \rightarrow \mathbb{R}^m\) are the state transition and joint reward functions, repectively, which both depend on all agent actions.
3.2The simplest solution to extend Deep Q-Learning to the multi-agent case would be to have each agent learn their optimal policy independently. Each single agent has an autonomous Q-learning algorithm and other agents are considered part of the environment. However, the interactions of multiple agents can reshape the environment so that the optimal policy may change drastically throughout the learning process. This non-stationarity - a shifting of an optimal policy over the time horizon - poses one of largest problems for MARL as convergence guarantees for Q-learning break down in this context. Several algorithms have been developed in an attempt to rectify the issue, and some yeild positive experimental results.
Deep Q-Learning with an experience replay buffer was not designed for non-stationary multi-agent environments, but modifications to this framework can help to
improve empirical convergence results.
One example is Deep Repeated Update Q-Learning (DRUQL)
Parital observability, as discussed in Section 2.6, provides another problem for Multi-Agent Reinforcement Learning algorithms.
In the single agent case adding recurrency to a DQN has been successful
Centralized training with decentralized execution is a common strategy deployed to train Multi-Agent Reinforcement learning models
Q-functions are unequipt to use different information during training and testing/execution time. The paradigm of Cenralized Training with Decentralized Execution is equally applicable in cooperative and competitive settings. It removes the the problem of the joint action spaces growing exponentially with the number of agents, making it useful in real time applications when compared to the single-agent RL methods.
Fig: A prototype of centralized training with decentralized execution
It has been established that a centralized critic/learning algorithm is needed to train a model to learn coordinated bahavior,
and decentralized execution is needed to make it scalable.
In such a scenario centralized action-value function \(Q_{tot}\) conditions on the global state and the joint action of agents.
It is difficult to learn when there are many agents, and there is no obvious way to extract decentralized policies.
Methods like IQL
Different factorization of centralized state action value function \(Q_{tot}\) into individual
or a subset of agents action-value function \(Q_a\) was compared in
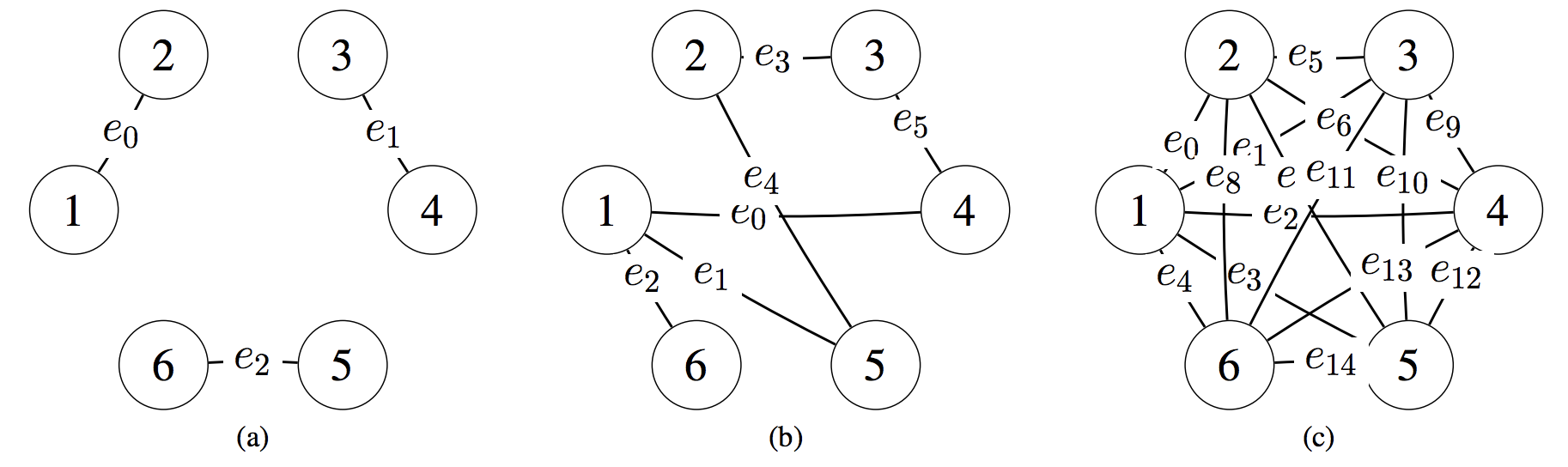
Example coordination graphs for: (a) random partition, (b) overlapping factors, (c) complete factorization
Coordination graphs provide a successful framework for scalable centralized learning as they
exploit conditional independencies between agents by decomposing a global reward function into a sum of agent-local terms
As we have seen, traditional reinforcement learning approaches such as Q-learning or policy gradient are poorly suited to multi-agent environments since the environment becomes non-stationary from the perspective of an individual agent. Using a framework with centralized training and decentralized executions mitigates this issue by using learned policies that only use local information at execution time. Additionally, a framework of this type does not assume a differentiable model of the environment dynamics or any particular structure on the communication method between agents. This is applicable not only to cooperative interaction but to competitive or mixed interaction involving both physical and communicative behavior.
A centralized critic is used with information about each agent while each actor just uses local information.
During execution time the actors are used with no shared information.
In addition, an ensemble of policies is used for training to improve stability.
K sub-policies are trained and one is chosen at random for each episode.
Each DDPG actor maintains an approximation of the true policy for each sub-policy.
This policy is updated with the latest samples the replay buffer after each episode.
This framework was created and tested on a myriad of games.
One game had a speaker agent that would dictate a color for the listener agent to then move onto.
Another game had multiple predator agents attempting to touch a single prey agent.
In these two examples and others, this framework excelled at allowing multiple agents to learn distinct roles.
Sometimes the algorithm required as little as a few thousand episodes to train the model.

DDPG's have built-in exploration due to the probabilistic output from the actor.
This property can be used to build a new framework starting with n individual DDPG models corresponding
to n agents in the environment with a single replay buffer.
Each populates the replay buffer with a large amount of explorative information of various scenarios.
Once a number of episodes pass - a hyperparameter to the model -
a single DDPG model is trained to control n agents based on the replay buffer.
Resticting to a single model significantly decreases the computing power needed to run the models after a sufficient amount of exploration has occurred.
This single DDPG model is then used to control the n agents until training ends.

Deep Reinforcement Learning tends to be “brittle”, meaning an agent can be stuck in a poor local optima state and not generalize to new environments. This can occur when a new policy is used by an opponent. MiniMax Multi-Agent DDPG aims to solve this by problem by leveraging the traditional mini-max algorithm with DDPG. Mini-max is an algorithm that assumes your opponent always plays optimally and uses this assumption to predict future moves. This can also be generalized in that the agent will always assume the worst case scenario and must play around this assumption. Calculating the true gradient of the critic is often intractable so it is linearly approximated locally.
This framework was tested on a number of different games.
One game had multiple agents trying to move to targets while an adversary attempted to block them.
Another game had multiple predator agents try to touch a prey agent.
In the above two, and other conducted games the agents were able to quickly adapt to new circumstances.

In many multi-agent settings all agents do not have full information, and too much noise can cause an agent to become confused and perform suboptimally. This framework establishes a learned communicative medium to facilitate knowledge transfer between DDPG models. The model assumes that observations received by most agents are noisy and weakly correlated to the true state. This is exaggerated in multi-agent environments where a specific state might not impact a single agent at all.
Thus, two DDPG models are used per agent - one for actions and one for communication. Each has a separate experience replay buffer. The action DDPG model is influenced by a communication medium that is shared between all agents. There are two types of communication, broadcast and unicast, which are similar to their networking counterparts. Broadcast is when a message is sent from one agent to every other agent in the environment. Unicast is when a message is sent from one agent to a single agent in the environment. Communication, and it's corresponding learning, are done less frequently than the action DDPG models.
Intrinsic rewards are used for both communication and action policies, and this reward is higher when more novel/new states are present. This intrinsic reward is combined with the extrinsic reward provided by the environment to created the total reward.
Two environments were used for testing. Each assigned a target to each agent where the agent must touch the target without bumping into another agent. In one environment each agent had the same target. In addition, there is a single gifted agent that knew the correct location of the target when each other agent got an incorrect location. In the second environment, each agent had a different target. Again, each agent got an incorrect location for each target but their own. For both environments, the goal was for agents to communicate with each other to determine their correct target, and then to touch their correct target.
It was shown that in both cases this framework was able to outperform the non-communicating frameworks.
Dec-POMDPs is the basis of all the Decentralized execution of Multi Agent Policy Gradient methods
\(S\) is the set of states, and \(s \in S\) is the true state of the environment. \(U\) is the set of joint actions of all agents, each agent \(a \in A\), chooses an action \(u^a \in U\), forming a joint action \(u \in U \equiv U^n\). The probability function \(P(s_t |s_{t-1}, u_{t-1}): S \times U \times S \rightarrow [0,1] \) determines the resultant state given the original state and action. Partially observable scenarios occur when an observation function \(O(s,a): S \times A \rightarrow Z \), determines the observation \(z^a \in Z \) from which each agent draws individually. Each agent maintains an action-observation history \(\tau^a \in T \equiv (Z \times U)^* \) on which it conditions a stochastic policy \(\pi^a (u^a | \tau ^a ): T \times U \rightarrow [0,1].\) Each agent share the same team reward \(r(s,u): S \times U \rightarrow R \), where \(\gamma \in [0,1] \) is the discount factor. The joint policy \(\pi\) admits a joint action-value function:
\(Q^\pi (s_t,u_t) = E_{s_{t+1}:\infty; u_{t+1:\infty}}[R_t| s_t,u_t] \) where \(R_t = \sum \gamma^ir_{t+i} \) is the discounted return.
4.4 One strategy for improving learning in a partially observable setting is to introduce communication
between agents to Deep Q-Networks.
Reinforced Inter-Agent Learning (RIAL) and Differentiable Inter-Agent Learning (DIAL) offer
two methods of communication in a centralized learning with decentralized execution framework
Policy Gradient methods have also been extended to include inter-agent communication. In a standard MARL with two agents training via normal gradient desent is defined as: \[ \theta^1_{i+1} = argmax_{\theta^1}V^1(\theta^1, \theta_i^2) \] \[ \theta^1_{i+1} = \theta^1_{i} + f^1_{n1} (\theta^1_i, \theta_i^2) \] \[ f^1_{n1} = \nabla_{\theta^1_{i}} V^1 (\theta^1_i, \theta_i^2) \cdot \beta \] where in a naive learner setting, agent 1 iteratively optimises for its own expected total discounted return \(V^1(\theta^1, \theta_2^2)\) to update its policy parameters \( \theta_i^1 \cdot \beta\) is the step size and \(f_{n1}\) is the gradient. One shortcoming of this approach is that this way agent ignores other agent's learning process and treat others as static part of environment.
The LOLA learning rule accounts for the other agents's policy updates by one step look-ahead.
The agent optimises over \( V^1 (\theta^1_i, \theta_i^2 + \Delta\theta_i^2 ) \), which is the expected return after other agents have made their policy updates.
\[ V^1 (\theta^1, \theta^2 + \Delta\theta^2 ) \approx V^1 (\theta^1, \theta^2 ) + (\Delta\theta^2)^T \nabla_{\theta^2 } V^1 (\theta^1, \theta^2) \]
where \( \Delta\theta^2 \) can be substituted by \( \nabla_{\theta^2} V^2 (\theta^1, \theta^2) \cdot \alpha \).
Here \(\alpha\) is the step size for the second agent. Hence the modifed learning step is :
\[ \theta^1_{i+1} = \theta^1_{i} + f^1_{lola} (\theta^1_i, \theta_i^2) \]
\[ f^1_{lola}(\theta^1_i, \theta_i^2) = \nabla_{\theta^1_{i}} V^1 (\theta^1_i, \theta_i^2) \cdot \beta + ( \nabla_{\theta^2} V^2 (\theta^1, \theta^2) )^T \nabla_{\theta^2 } \nabla_{\theta^1 } V^2 (\theta^1, \theta^2) \cdot \alpha \beta \]
The updated policy gradient:
\[ f^1_{lola,pg} = \nabla_{\theta^1} \mathbb E R^1_0(\tau) \cdot \beta + ( \nabla_{\theta^2} \mathbb E R^1_0(\tau))^T \nabla_{\theta^2 } \nabla_{\theta^1 } ^2 \mathbb E R^2_0(\tau) \cdot \alpha \beta \]
LOLA learners actively influence other agents future policy updates.
QMIX is an example of centralized training decentralized execution paradigm algorithm,
which employs a network that estimates joint action-values as a complex non-linear combination of per-agent values

Each agent can represent its individual value function \(Q_a(\tau^a , u^a )\) as DRQNs
Individual value function \(Q_a\) are mixed monotonically in a complex non-linear way via a mixing feed forward network to form \(Q_{tot}\), where network is maintained
with positive weights, (\(\frac{\partial Q_{tot}}{\partial Q_a} > 0 \) )
Fig: Qmix architectute taken from Qmix is trained in an end-to-end manner by minimizing the following loss analogous to the standard DQN loss:
\[ \mathcal{L}(\theta) = \sum^b_{i=1} [(y_i^{tot} - Q_{tot}(\tau , u, s ; \theta))^2] \]
Here \(b\) is the batch size of transitions sampled from replay buffer. \(y^{tot} = r + \gamma max_{u'} Q_{tot}(\tau' , u', s' ; \theta^-)\) and \(\theta^-\) are the parameters of a target network as in DQN.
5
The StarCraft Multi-Agent Challenge (SMAC)
Baseline is joint learner (a single neural network with an exponential number \( |A| = |A_i|^n \) of output units)
The QMIX architecture has dominated the current MARL state-of-the-art, but it still has not been able to paint the full picture of coordination, critical and strategic thinking to complete a complex multi-objective task like StarCraft
A brief summary of all the approaches taken from the
Us, poor graduate students, review the article.